什么是非球面透鏡,有哪些優勢?

非球面透鏡是一種折射面為非球面的曲面的透鏡,通常可分成簡單曲面(如拋物面)和復合曲面兩類。與球面透鏡相比,球面透鏡表面是回轉對稱的球面表面,即從透鏡的中心到邊緣具有恒定的曲率,非球面透鏡表面為回轉對稱的不是球面的表面,即符合特定表達式的回轉對稱的且表面是光滑連續的表面。

(圖源網絡,侵刪)
非球面透鏡具有更佳的曲率半徑,可以維持良好的像差修正,以獲得所需的性能。這種透鏡可以消除球面畸變,通過優化曲面形狀有效減少或消除邊緣處的畸變,使圖像邊緣的物體變形或扭曲得到更好的矯正。
其次,非球面透鏡可以提高光束的聚焦能力,根據需要定制曲面形狀以將光線聚焦到更小的斑點上。這使得非球面透鏡在激光聚焦、光通信等領域中非常有用。此外,非球面透鏡還可以提供更平坦的光場,即使在離軸角度較大的情況下也能獲得良好的成像質量。這使得非球面透鏡在照明系統、投影儀等領域中有廣泛的應用。

(圖源網絡,侵刪)
非球面透鏡的另一個重要特點是其可以實現多焦點功能,通過調整曲面形狀將不同波長的光線聚焦到不同的焦點上。這對于一些需要同時處理多個波長的應用,如光譜成像和光譜測量等是非常有用的。
在光學設計上,非球面透鏡的曲率半徑隨著中心軸而變化,用以改進光學品質,減少光學元件,降低設計成本。通過調整曲面常數和非球面系數,非球面透鏡可以最大限度地消除球差,實現更小的光學系統,并提高系統的穩定性。
光學系統中采用的非球面有三大類:第一類是軸對稱非球面,如回轉圓錐曲面、回轉高次曲面;第二類是具有兩個對稱面的非球面,如柱面、復曲面;第三類是沒有對稱性的自由曲面。非球面透鏡的表達式可以有多種形式,通常用于描述其非球面的形狀。以下是一些常見的非球面透鏡表達式:
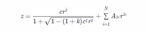
圓錐曲面表達式:
這是最常用的非球面表達式之一,它基于圓錐曲面并迭加一系列的高次多項式。表達式形式如下:

其中,z是垂直于光軸的坐標,r 是到光軸的徑向距離,c 是頂點曲率(c=1/R,其中 R 是頂點曲率半徑),k 是圓錐系數,A2i 是第 2i 次非球面系數。
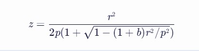
2. 二次曲面表達式:

另一種常見的非球面表達式是基于二次曲面,它可以具有離心率 e 和頂點曲率 p。表達式形式如下:
其中,b = e^2是離心率 e 的平方。
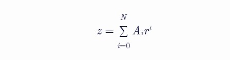
3. 多項式表達式:
可以使用多項式來直接描述非球面的形狀。例如,一個簡單的多項式表達式可以是:

其中,Ai 是各項系數。
4. Zernike多項式:
在某些高級應用中,可能會使用Zernike多項式來描述非球面形狀。Zernike多項式在光學設計和測試中常用于表示和評估波前畸變。
非球面透鏡的加工制造方法包括精密玻璃成型、金剛石車削和注塑成型等。精密玻璃成型是將玻璃材料加熱至高溫并壓入非球面模具中,然后逐漸冷卻至室溫以形成透鏡。金剛石車削則使用單點金剛石刀具對透鏡進行加工,以獲得高精度的表面光潔度和形狀精度。注塑成型則是將熔融塑料注入非球面模具中以生產塑料非球面透鏡。

(圖源網絡,侵刪)
非球面透鏡的優勢
非球面透鏡相較于球面透鏡具有多個顯著的優點,這些優點使其在多個領域得到廣泛應用。以下是非球面透鏡的主要優點:
1.成像質量更高:非球面透鏡能夠根據光線入射的位置和角度進行對焦,從而提高成像的清晰度和分辨率。而球面透鏡在邊緣部分和離軸區域容易產生像差,導致圖像模糊或失真。
2.消除色差:非球面透鏡通過優化透鏡的曲率和厚度分布,能夠降低或消除色差。球面透鏡由于球面形狀的限制,難以消除色差,而非球面透鏡則能更好地實現光的各色成分在焦點上的聚焦。
3.尺寸更小、重量更輕:在實現相同功能時,非球面透鏡可以采用更薄更輕量的設計,使光學系統更加緊湊和便攜。
4.廣闊的折射率調節范圍:非球面透鏡具有更廣闊的折射率調節范圍,可以用來糾正眼睛的屈光不正問題,如近視、遠視等。
5.更好的像差修正:非球面透鏡具有更佳的曲率半徑,可以維持良好的像差修正,以獲得所需的性能。這使得非球面透鏡在攝影鏡頭中能夠校正眾多的“像差”,提高成像質量。
6.寬廣視野和平坦光場:非球面透鏡通過優化曲面形狀,能夠在離軸角度較大的情況下仍然保持良好的成像質量,提供更為寬廣的視野和平坦的光場。這在照明系統、投影儀等應用中尤為重要。
7.多焦點功能:非球面透鏡通過調整曲面形狀,實現了多焦點功能,即能夠將不同波長的光線聚焦到不同的焦點上。這使得非球面透鏡在應對不同波長的光線時具有更高的靈活性。
8.設計和制造成本降低:由于非球面透鏡能夠改進光學品質并減少光學元件,因此在設計和制造過程中可以降低成本。